服務熱線:15195518515在線客服:1464856260
傳真號碼:0517-86801009
郵箱號碼:1464856260@qq.com
網 址:http://www.wlcbgl.com
地 址:江蘇省金湖縣理士大道61號
磁翻板液位計與差壓液位計在氨罐測量中的應用
發布時間:2021-01-22 15:16:05??點擊次數:2363次
江蘇淮河化工有限公司2#~6#氨罐(臥式儲罐)液位顯示不準,受環境溫度影響大,不利于生產成本的有效控制及績效考核。氨罐液位測量配置了現場磁翻板液位計以及遠傳差壓液位計,目前生產中主要靠現場磁翻板液位計得出讀數后,查液位噸位對照表得庫存量*為不便。
1、2種液位計誤差來源分析
1.1磁翻板液位計原理及誤差來源
磁翻板液位計與氨罐旁通管相連接,罐與旁通管之間組成了1個U形管,其關系式為:
h1×d1=h2×d2 (1)
式中:h1---氨罐內液氨的液位;
d1---氨罐內液氨的密度;
h2---磁翻板內的液位;
d2---磁翻板內液氨的密度。
通常情況下,氨罐內液氨溫度t1等于旁通管內液氨溫度t2,即d1=d2,則h1=h2,則通過磁翻板液位h2便可知h1;但是,磁翻板液位計受環境溫度影響大,因t1≠t2,則d1≠d2,于是h1≠h2,使磁翻板液位計誤差產生,受環境溫度影響大。

1.2差壓液位計及誤差來源
差壓液位計是基于液體連通器原理和液體靜壓力原理來測量液體的液位,其測量系統示意如圖1所示。其關系式為:
H=△P/(Q液氨-Q硅油)+H0 (2)
式中:△P---差壓計測量的差壓;
Q液氨---液氨密度;
Q硅油---硅油密度,隨環境溫度變化小,取0.93;
H0---差壓液位計的安裝高度。
由式(2)可看出,差壓液位計主要誤差來源于△P,Q液氨和H0。
2、改進方案
通過以上誤差的來源分析,分別對目前使用的2種液位計進行如下調整。
2.1磁翻板液位計
由于磁翻板液位計受溫度影響較大,尤其是磁翻板保溫不好,誤差*大,不能準確計量每班產量,白班(8h)*大誤差達8~9t;但磁翻板液位計容易安裝和維修,易于對磁翻板標尺的零點進行校正,便于觀察液面變化,故保留原來磁翻板液位計,并進行重新保溫,僅作參考。
2.2差壓液位計
差壓液位計主要誤差來源于△P,Q液氨和H0,因△P誤差主要來源于差壓計本身的誤差,如產品合格,誤差在可接受范圍之內,故需要修正的是差壓液位計的安裝高度H0以及液氨密度Q液氨。
2.2.1安裝高度H0
通過實際測量,2#~6#氨罐差壓液位計安裝在磁翻板液位計雙法蘭下法蘭位置,低于氨罐位置,即H0為負數。2#~6#氨罐差壓液位計的安裝高度分別為-17,-15,-15,-15和-15cm。
2.2.2液氨密度Q液氨
因液氨密度受溫度影響大,且每個氨罐的保溫效果也有差異,故如需準確測量氨罐液位,必須引入溫度測量。對2#~6#氨罐分別進行卸壓,并引入熱電偶遠傳至DCS系統,對密度進行修正,修正公式為Q液=0.639-0.00145t。經過以上修正,2#~6#氨罐液位修正計算公式如表1所示。

2.3用差壓測量的液位來計量氨罐噸位
通過對差壓液位計的液氨密度和安裝高度進行修正后,差壓液位計的液位值可信,但是每班產量仍然按照氨罐液位對照表來計量產量。氨罐液位對照表中的噸位是基于某一固定溫度下(原計算按20℃下)的密度計算所得,故仍然不能準確計量氨罐中的液氨質量。
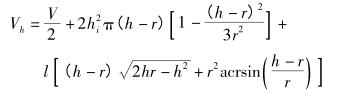
根據質量計算公式m=QV可知,需能找到不同液位H下對應的體積V,然后乘以溫度修正過的液氨密度Q液氨,即得出準確的氨罐噸位。通過查閱相關資料,臥式氨罐體積V與高度H可用下式進行計算:

式中:V---液氨儲罐總體積;
h---液位計高度;
hi---橢圓墻頭內高度(不包括直邊高度);
r---貯槽內半徑;
l---貯槽圓柱體部分長度;
Vh---對應h高度貯槽體積。
將2#~6#氨罐尺寸代入上式后,體積就與氨罐的液位一一對應了,液位由差壓液位計進行測量,*終求得體積。
2#氨罐體積公式:
V=503.534291675*(1-(H-1.5)^2/6.75)*(H-1.5)+13.2*((H-1.5)*(2*H*1.5-H^2)^0.5+2.25*(ASIN((H-1.5)/1.5)))
3#~6#氨罐體積公式均為:
V=504.021238592*(1-(H-1.6)^2/7.68)*(H-1.6)+11.38*((H-1.6)*(2*H*1.6-H^2)^0.5+2.56*(ASIN((H-1.6)/1.6)))
將上式在寫入DCS組態中,至此所有工作完成。
3、效果驗證
2015年12月2日白班,2#~6#氨罐測溫點全部安裝完成,白班即投入使用。當班售氨過磅計量為46.2t,DCS上顯示氨罐液氨噸位下降了47.2t左右,誤差≤2.16%,屬于可接受范圍。由此可見,修正后的DCS顯示液氨噸位較磁翻板液位計更精確,同時可在DCS系統直接讀出液位,無需再對表,降低了操作人員的勞動強度。



|