服務熱線:15195518515在線客服:1464856260
傳真號碼:0517-86801009
郵箱號碼:1464856260@qq.com
網 址:http://www.wlcbgl.com
地 址:江蘇省金湖縣理士大道61號
軟化水水箱液位計電流輸出壓靈敏度測量結果的不確定度評定
摘要:介紹了一種直接測量軟化水水箱液位計電流輸出聲壓靈敏度的不確定度評定方法,對頻率 1000Hz、聲壓級84. 0dB 時的軟化水水箱液位計電流輸出聲壓靈敏度的測量不確定度進行評定,得到測量結果的擴展不確定度 為0. 0011mA/dB( k = 2) ,為軟化水水箱液位計電流輸出聲壓靈敏度的準確校準提供了技術參考。
引言
軟化水水箱液位計是由測量傳聲器與精密測量電路(適配器) 集成在一起的測量設備,將測量的聲音信號轉換為 4 ~ 20mA 電流,可直接與 DCS( Distributed Control System) 系統、PLC(Programmable Logic Con- troller) 或其他設備相連接,用來測量風機、電動機或水泵等設備的噪聲情況。
目前國內對該類軟化水水箱液位計的靈敏度常采用間接測量或與二次儀表配套進行系統測量兩種方式進行校準,尚未采用直接測量的方式對軟化水水箱液位計的電流輸出聲壓靈敏度進行校準。實際工作中,由于二次儀表或工業 PLC模塊都固定在設備的集成模塊中,體積大,集成化程度高,不方便攜帶送 檢,通常用戶僅單獨送檢軟化水水箱液位計,因此,僅對軟化水水箱液位計進行單獨校準的必要性十分明顯,同時直接測量的校準方式減少了測量過程中的不確定度影響因素,有效提高了測量準確度。
1 概述
1. 1 測量標準
主要測量設備與 JJG 188-2017《聲級計》中要求一致,增加數字電流表: 在 20 ~ 8000Hz 范圍內,測量不確定度不大于 1. 0% ( k = 2) 。
1. 2 被測對象
軟化水水箱液位計,測量范圍為 20 ~ 8000Hz; 輸出范圍為 4 ~ 20mA。
1. 3 測量方法
在每一個校準頻率點上,信號發生器發出電信號,使聲源或耦合腔產生給定頻率、給定幅度的聲輸出,利用實驗室標準傳聲器或等效的同準確度等級的聲壓級測量裝置對聲場參考位置處的標準聲壓級進行測量并記錄,保持聲信號頻率和幅度不變,將被校軟化水水箱液位計置于參考位置上,并保證軟化水水箱液位計傳聲器的參考點位置與實驗室標準傳聲器參考點原先的位置相同。利用數字電流表讀取并記錄軟化水水箱液位計的直流信號輸出,由軟化水水箱液位計輸出的電流值與測定的聲壓級計算出各個頻率點下的聲壓靈敏度。
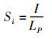
2 測量模型
2. 1 測量模型

式中: Si 為給定頻率點處,軟化水水箱液位計電流輸出的聲壓靈敏度; I 為數字電流表測得的電流值; LP為參考位置處的標準聲壓級。
2. 2 不確定度傳播率
由于上述各輸入量之間相互獨立,測量模型中僅包含輸入量的積和商,合成不確定度的表達式為:

3 不確定度評定
對頻率 1000Hz、聲壓級 84. 0dB 時的軟化水水箱液位計電流輸出聲壓靈敏度的測量不確定度進行評定。
3. 1 電流測量值引入的標準不確定度 u( I)
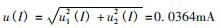
3. 1. 1 輸出電流測量重復性引入的標準不確定度u1 (I)
用 A 類標準不確定度評定。對軟化水水箱液位計電流輸出進行 6 次測量,電流輸出的測量結果為: 14. 28,14. 39,14. 33,14. 34,14. 31,14. 33 ( mA) ,平均值為 14. 330mA,標準偏差為 0. 0363mA。
實際校準過程中以單次電流測量值作為校準結果,則輸出電流測量重復性引入的不確定度可用單次實驗標準偏差代替,則:

3. 1. 2 數字電流表示值誤差引入的標準不確定度u2 (I)
用 B 類標準不確定度評定。根據數字電流表校準**,數字電流表電流輸出的擴展不確定度為0. 0003mA,k = 2,則:
u2 ( I) = 0. 0003 /2≈0. 0002mA
數字電流表分辨力引入的不確定度分量非常小,且環境條件對電流表示值的影響也非常小,兩者均可忽略不計,因此電流測量值引入的不確定度為:

3. 2 標準聲壓級引入的標準不確定度分量 u( LP )
3. 2. 1 標準傳聲器靈敏度級校準引入的標準不確
定度 u1 ( LP ) 用 B 類標準不確定度評定。根據標準傳聲器檢定**,標準傳聲器聲壓靈敏度級在 1kHz 時的擴展不確定度為 U = 0. 05dB,k = 2,則其對應的標準不確定度為:
u1 ( LP ) = 0. 05 /2 = 0. 025dB
3. 2. 2 聲校準器校準值引入的標準不 確定度u2 (LP)
用 B 類標準不確定度評定。聲校準器*大允許誤差為 ± 0. 15dB,以均勻分布考慮,其半寬區間為0.15dB,取 k =/3,則:
u2 ( LP ) = 0. 15 /3 = 0. 087dB
聲校準器校準值引入的不確定度分量應包含靜壓修正和腔體修正( 如適用) 引入的不確定度分量,因此后兩者不再重復計算。
3. 2. 3 聲學分析儀測量放大器示值誤差引入的標準不確定度 u3(LP)
用 B 類標準不確定度評定。測量放大器示值誤差優于±0.05dB,以均勻分布考慮,其半寬區間為 0. 05dB,取 k =/3,則:
u3 ( LP ) = 0. 05 //3≈0. 029dB
3. 2. 4 前置放大器傳輸損失引入的標準不確定度u4 (LP)
用 B 類標準不確定度評定。前置放大器傳輸損失優于± 0.1dB,以均勻分布考慮,其半寬區間為0.1dB,取 k =/3,則:
u4 ( LP ) = 0. 1 //3≈0. 058dB
3. 2. 5 校準空間位置互換引入的標準不確定度u5 (LP)
用 B 類標準不確定度評定。根據規范中的校準方法,在自由聲場和低頻耦合腔中進行校準時,標準傳聲器系統與被測儀器的空間位置會發生一定的偏移,這類空間位置互換產生的偏移會造成測試聲源與傳聲器膜片的空間距離和入射角度等發生變化,且每次進行校準時,被測儀器與測試聲源間的測試距離也發生變化,這里假設其半寬區間0. 1dB,按均勻分布考慮,取 k =/3,則:
u5 ( LP ) = 0. 1 //3≈0. 058dB
3. 2. 6 聲場修正引入的標準不確定度 u6 (LP)
用 B 類標準不確定度評定。根據 IEC/T S61094- 7-2006 中給出的實驗室標準傳聲器壓力場靈敏度級和自由場靈敏度級間的修正因子及測量不確定度數據,考慮到實際校準過程中,消聲箱內環境及空氣聲吸收等各種因素的影響,在自由場校準時應引入由自由場修正帶來的測量不確定度,1000Hz 時,按均勻分布考慮,取包含因子 k =/3,則:
u6 ( LP ) = 0. 1 //3≈0. 058dB
3. 2. 7 環境條件變化引入的標準不確定度 u7 ( LP )
用 B 類標準不確定度評定。根 據 JJG 175-2015 附錄 D 中給出的實驗數據,可直接引用環境條件變化引入的標準不確定度分量,1000Hz 時:
u7 ( LP ) = 0. 012dB
3. 2. 8 數據修約引入的標準不確定度 u8 ( LP ) 用 B 類標準不確定度評定。這里假設其半寬區間為0.05dB,按均勻分布考慮,取包含因子 k =/3,則: u8 ( LP ) = 0. 05/3≈0.029dB因此,標準聲壓級引入的標準不確定度分量為:

3. 3 標準不確定度分量表
不確定度各分量匯總如表 1 所示。

U = kuc = 0. 0011mA/dB
因此,軟化水水箱液位計 1000Hz、聲壓級 84. 0dB 時電流輸出的聲壓靈敏度為 0. 1230mA/dB,測量結果的擴展不確定度為 0. 0011mA/dB。
4 結論
本文介紹了一種直接測量軟化水水箱液位計電流輸出聲壓靈敏度的不確定度評定方法,闡述了電流輸出聲壓靈敏度的測量不確定度模型及標準不確定度分量,給出了頻率 1000Hz、聲壓級 84. 0dB 時的軟化水水箱液位計電流輸出聲壓靈敏度的測量結果及擴展不確定度。以上工作旨在為軟化水水箱液位計電流輸出聲壓靈敏度的準確校準提供技術支撐,為軟化水水箱液位計電流輸出特性校準裝置的搭建提供技術依據。



|