服務熱線:15195518515在線客服:1464856260
傳真號碼:0517-86801009
郵箱號碼:1464856260@qq.com
網 址:http://www.wlcbgl.com
地 址:江蘇省金湖縣理士大道61號
影響渦街流量計精度的因素與處理
渦街流量計具有結構簡單、安裝方便、測量范圍大、壓力損失低、可測量多種流體等優點,但渦街流量計在應用中,以下因素都會增大渦街流量計的測量誤差。
(1)安裝直管段的影響
渦街流量計是一種速度式流量計,旋渦分離的穩定性會受流速的影響,故渦街流量計對直管段的要求是比較嚴格的。流量計前、后直管段一定要合乎要求,流量計前的直管段大于管道內徑 10 倍(10D),后直管段要大于管道內徑 5 倍(5D)。達不到上述要求將影響測量精度。
解決辦法:在安裝時就要注意直管段問題,避免在使用時才發現而被動。
(2)流體雷諾數 Re 的影響
在實際使用中流體雷諾數 Re>2×104 時,都可滿足渦街流量計的應用要求。但流速偏低或黏度較大的介質,會導致 Re 下降。但有時由于生產現場的流速發生變化使渦街流量計誤差增大而無法使用。
解決辦法:應盡量避免在雷諾數 Re<2×104 情況下使用。當雷諾數滿足不了要求時,只能采取縮小管徑來解決,在流量不變的條件下,管道如縮小為原來的 1/n,流速將提高 n 倍,而雷諾數 Re 也將增大為原來的 n 倍。所以要儀表正常運行,保證下限流速是關鍵。
(3)測量探頭的影響
① 當被測流體的溫度較高或較低時,探頭尺寸發生變化,會引起流體流通面積變化,而產生測量誤差。
解決辦法:采用膨脹計算公式來修正,即 Ft=1-α×105×(t-20)
式中 t 為被測流體的溫度;α為漩渦發生體材質的熱膨脹系數。
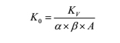
② 安裝開孔及探頭插入管道內,也會引起流場分布的變化。這也會引起測量誤差。
解決辦法:可通過修正儀表常數來減少誤差:

式中 K0 為儀表常數;KV 為儀表出廠標定常數;α為流場修正系數;β為阻塞修正系數;A 為管道內截面積。
(4)振動的影響
渦街流量計的安裝現場如果有設備或管道的振動,尤其是應力式渦街流量計對振動更敏感,振動會使儀表的測量值偏高,振動越強偏差越大。
解決辦法:選擇安裝地點盡量避開振動源,在有振動的現場安裝渦街流量計時,應在儀表前后加裝防振動支架。



|